The first of two meetings of the CHSAA Legislative Council takes place Tuesday, Feb. 3 at the Douglas County School District Legacy Campus. There are several items up for vote for the 75-member council which is made up from administrators throughout Colorado.
Below is a list of the agenda items along with the Colorado Preps recommendations to vote for or against each item. Like all media outlets, Colorado Preps does not have a vote on LC. The recommendations come from discussions with coaches and athletic directors as well as other administrators on the impact that each agenda item has.
Colorado Preps will provide coverage of the outcomes of the votes and what they will mean for CHSAA and its membership moving forward.
CON 1 – Member Schools

Colorado Preps Recommendation: Approve.
The recent growth of a “single district online” school – and that school’s winning a state championship – has seemingly forced this issue to be addressed. CP is in favor of this passing to help strengthen the definition (and spirit) of schools seeking CHSAA membership.
CON 2 – Eligible Committee Members

Colorado Preps Recommendation: Approve.
This allows athletic directors to keep focus on one committee assignment rather than spreading themselves thin over several committees.
CON 3 – Committee Membership

Colorado Preps Recommendation: Disapprove.
Long-standing coaches who transition into administrative roles have a great understanding of how a sport works in the CHSAA realm. In this sense, a 10-year coach could be more valuable to a committee than a three-year athletic director. Capping a committee at 50% of its members who don’t meet the criteria could result policy heading in a direction not best suited for that particular sport.
Administrative Proposals
ADM 1 – Multiplier Exemption


Colorado Preps Recommendation: Disapprove.
The doubling of a school’s enrollment by 1500.22(2) does not factor in to the perceived advantages that resulted in the private school multiplier.
ADM 2 – Change Place Up Criteria




Colorado Preps Recommendation: Disapprove.
The results of the initial forced up proposal haven’t even been felt yet. By the Colorado Preps count, there are currently nine programs who qualify as forced-up programs (this is with the fall 2025 championships factored in, but not 2026 winter or spring championships). If we just factor in championships below 5A and remove all single classification championships, 13% of forced-play-up programs would be forced up.
Under this proposed bylaw, there are only three teams who qualify as forced-up programs which drives that percentage down to 4%. Maybe 13% is too high, but 4% also seems too low. We disapprove of ADM 3 as it’s presented.
ADM 4 – Athletic Transfer


Colorado Preps Recommendation: Approve.
This is more language clarification than a change in policy.
ADM 5 – Restricted Varsity



Colorado Preps Recommendation: Approve. The previous policy had dates identified rather than number of contests. This allows for less schedule manipulation so that kids are missing minimal contests.
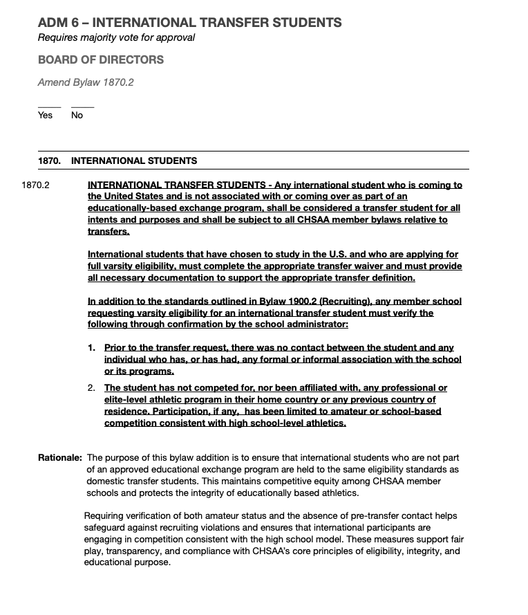
ADM 6 – International Transfer Students


Colorado Preps Recommendation: Approve.
ADM 7 – Video appeals for ejection due to physical act


Colorado Preps Recommendation: Approve.
If the technology is available to keep a kid from unjustly missing a contest, it should be utilized.
ADM 8 – Scrimmage dates and foundation contests



Colorado Preps Recommendation: Approve.
ADM 9 – Playoff field size

Colorado Preps Recommendation: Approve.
The only adjustment we would recommend here is cleaning up the language. State tournament fields should absolutely be capped at 50% of the number of programs in the classification. But regional postseason play (such as volleyball and baseball) should be exempt. We would still recommend this based on (but not limited to) examples of 40-team basketball brackets (with 6A having 56 teams in the classification, this has gotten out of hand) and 24-team girls lacrosse brackets for a classification that has 29 team.
Postseason play should be a reward for the work of the regular season and when it’s harder to not make a postseason, it feels like a fundamental core value of high school athletics has been lost.
Athletic Proposals
ATH 1 – Start of girls swim and dive season

Colorado Preps Recommendation: Approve.
Committee Reports
Budget
MAJOR CHANGE: Membership dues and participation fees will increase by 2% next year and for each of the next three years.
Colorado Preps Recommendation: Approve.
CLOC
Colorado Preps Recommendation: Disapprove.
This is a genuinely tough spot for the membership. There are several reasons why voting this down would certainly handcuff the membership and CHSAA as a new cycle begins in 2026-27. But there are issues that need to be addressed. And this is not to discount the work that CHSAA, the CLOC committee and everyone involved has done. The process of establishing classification splits and classifying the schools is daunting one when working with a membership of nearly 400 athletic programs.
But when a football program such as Palmer Ridge is moved down to 3A despite its competitive floor sitting well above the 3A level (three 4A state title game appearances and an advancement to at least the quarterfinals each season dating back to their move to 4A in 2020), there are issues that need to be addressed. The same could be said for an always-competitive University girls volleyball program that won state in 4A and will play at 3A in 2026-27. The core of the issue probably needs to addressed in the bylaws (1500 deals with the classification of programs), but rubber-stamping this report and addressing these issues later may not be the best avenue.
Coaching education and registration
Colorado Preps Recommendation: Approve.
Sportsmanship & Inclusion
Colorado Preps Recommendation: Approve.
Officials Fees
Colorado Preps Recommendation: Approve.
E-Sports
MAJOR CHANGE: E-Sports will be going to a two-classification system starting in 2026-27 pending the approval of the CLOC Committee Report.
Colorado Preps Recommendation: Approve.
Baseball
MAJOR CHANGE: Elimination of districts in 1A. Class 5A-3A will adjust format so that the championship is a two-out-of-three series. Class 2A will go to a two, four-team double-elimination bracket with a crossover game and a single-game championship.
Colorado Preps Recommendation: Approve.
So very much approve. A 2-of-3 series to determine a state championship is going to be incredible.
Cross country
Colorado Preps Recommendation: Approve.
Field hockey
Colorado Preps Recommendation: Approve.
Golf
Colorado Preps Recommendation: Approve.
Regionals in some capacity need to come back. This balances the direction that the golf committee took things last year with the return of a competitive qualifying standard. Taking all 84 state qualifiers from the iWanamker rankings proved to create some problems in Colorado high school golf.
Colorado Preps Recommendation: Approve.
The biggest change in the committee report to advocate for here is that if a team has more than four players in the qualifying field, they get to choose the four players that make up the state roster.
There is a lot of concern over how state tournament qualifying is laid out here. If the amendment passes as written, two regions would qualify 11 kids and two would qualify 10. Taking 44 from iWanamaker and 40 from regionals seems a bit cleaner.
There should also be clarification over what happens to the spots filled by players inside the field of 84 who won’t go to state because their team is capped at four players.
Even with these concerns, the passing of the committee report is a step forward for the sport.
Gymnastics
Colorado Preps Recommendation: Approve.
Soccer
Colorado Preps Recommendation: Approve. All spring seasons are too condensed so if there is a chance to extend in any way, we fully support it.
Colorado Preps Recommendation: Approve.
Softball
Colorado Preps Recommendation: Approve.
Swim and Dive
Colorado Preps Recommendation: Approve.
Tennis
Colorado Preps Recommendation: Approve.
Unified Bowling
Colorado Preps Recommendation: Approve (pending passage of CLOC report).
Volleyball
Colorado Preps Recommendation: Approve.